
August 2025
VOLUME 13
Issue 2
e-ISSN 3062-3650
YJHS is the continuation of "Yeditepe Medical Journal (YMJ, ISSN: 1307-279X)," published between 2009-2016 as a journal of Yeditepe University.
From Art as Medicine to Health Sciences Research
Gülderen Yanıkkaya Demirel
Dear Colleagues, we are pleased to present the August 2025 issue of the Yeditepe Journal of Health Sciences, our second issue. The cover painting of this issue is Coronavirus by Neş’e Erdok, a well-known Turkish figurative painter. During the SARS-CoV-2 epidemic, she created two paintings titled Corona, and the work featured here is the second. As Shaun McNiff has emphasized in his book Art as Medicine:
“Art as medicine does not restrict its interactions to human relationships. Concentration (...)
Reference Intervals for Clinical Laboratories
Yeşim Özarda
Laboratory medicine has long played a key role in diagnosing, treating and monitoring hospitalised patients. Every day, millions of laboratory tests are performed worldwide that need to be interpreted for clinical decision-making purposes. Reliable and accurate reference intervals (RIs) for laboratory analyses are therefore an integral part of correctly interpreting clinical laboratory test results. Studies in this area began around six decades ago. In the mid-20th century, Gräsbeck et al. published the initial paper, (...)

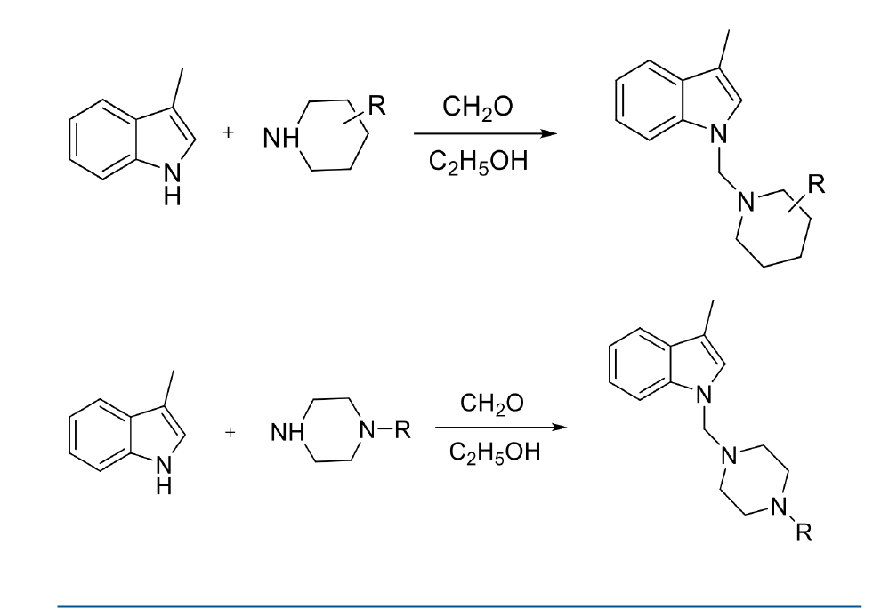
Synthesis and Biological Evaluation of Novel N-Substituted 3-Methylindole Derivatives
Rawan Albhaisi
Cancer is a serious and critical life-threatening illness that is responsible for 9.7 million deaths in 2022, and it is the main cause of death universally after ischaemic heart diseases. Cancer can be treated and managed by (...)
and colleagues

Antibiotic Use Behaviors and Influencing Factors Among Adult Patients Attending Family Health Centers: A Theory of Planned Behavior Approach
Şükran Peker
The irrational use of drugs (IUDs) continues to pose a significant threat to global public health. According to the World Health Organization (...)
and colleagues

Optimization of ROS Measurement in PANC-1 Cells
Merve Gündoğdu
Oxidative stress is a condition that arises when the production of reactive oxygen species (ROS) during cellular metabolism exceeds the antioxidant defense capacity. Reactive oxygen species comprise a variety of reactive (...)
and colleagues

The Effect of Cisplatin on GATA2 and GATA6 Gene Expression in Head and Neck Cancer Cell Lines
Daoude Ag Hamma
Accounting for over 90% of malignancies in the head and neck region, head and neck squamous cell carcinoma (HNSCC) poses a substantial global burden, marked by high morbidity and mortality rates. According to 2022 data, approximately 946,456 new cases and over 482,001 deaths occur annually. The most frequently affected anatomical regions include the oral cavity, larynx, and (...)
and colleagues

Impact of Anti-HLA-DR51/52/53 Antibody Positivity on Predicting Flow Cytometry Crossmatch Results in Kidney Transplant Candidates
Demet Kıvanç
Human leukocyte antigen (HLA) -DR is one of the class II HLA proteins and consists of heterodimeric α and β chains. The HLA-DR alpha chain is encoded by HLA-DRA. There are four different (...)
and colleagues
ADVANCE KNOWLEDGE. SHARE YOUR RESEARCH. PUBLISH WITH PURPOSE—FREE OF CHARGE
Yeditepe Journal of Health Sciences is an international, open-access journal in health sciences with double-blind peer review and no publication fees.
Submit Your Manuscript